一、原函数不定积分的概念原函数的定义:
如果可导函数F(x)的导函数在区间I中是f & # 39(x),即对于任意x∈I都有F & # 39(x)=f(x)或df(x)=f(x) dx,则函数F(x)称为F(x)(或f(x) dx)在区间I的原函数。
原函数存在定理;
如果函数f(x)在区间I中连续,那么在区间I中存在可导函数F(x),使得每个x∈I都有F & # 39(x)=f(x)。
简单来说:
连续函数必有原函数。
不定积分的定义:
在区间I上,具有任意常数项的函数f(x)的原函数称为f(x)( f(x)dx)在区间I上的不定积分,记为∫ f(x)dx。符号∫称为整数,f(x)称为被积函数f(x)dx称为被积函数表达式,x
二、基本积分公式
  
 
  
 
三、不定积分的性质
设函数f(x)和g(x)的原函数存在,则∫ [F (x) G (x)] dx = ∫ F (x) dx ∫ G (x) dx。注:封闭的加减积分可以分别加减。2.设函数f(x)和g(x)的原函数存在,k为非零常数,则
∫ k f(x) dx=k ∫ f(x) dx
记者:一个非零常数乘以一个积分的时候,你可以把常数拿出来,乘以不定积分。
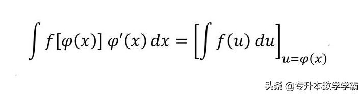
第四,第一种替代积分法
如果f(u)有原函数,u=φ(x)可导,则有一个代入公式:
  
 
也被称为微分学。
第五,第二种代换积分法
设x=ψ(t)是单调可微函数,ψ& # 39;(t)≠0,而f[ψ(t)]ψ& # 39;(t)有原函数就有代换公式。
  
 
是x=ψ(x)的反函数。

三种常见的代换公式(注意:用三角形理解来记忆)
  
 
第二代换积分法求解的常见积分公式:
  
 
不及物动词部分积分法
设函数u=u(x)和v=v(x)有连续导数,则两个函数乘积的导数公式为(uv)& # 39;= u & # 39v+ uv & # 39;,移动该项,得到:u v & # 39=(u v)& # 39;-u & # 39;v
对这个方程的两边进行积分。
∫u v & # 39;dx = u v-∫u & # 39;V dx称为部分积分公式。
按零件的集成顺序集成:反对幂指三,指从后面集成容易,先集成那个。积分的顺序:先三角函数,再指数函数,再幂函数,再对数函数,最后反三角函数。
七、有理函数的积分
1.利用换元法:∫ f[ g(x) ]dx,设t=g(x),可以发现x= u(t),t=g(x),x= u(t)是反函数,dx=u(t)dt是∫ f(。
2.有理函数的积分
两个多项式的商P(x)/Q(x)称为有理函数,也称为有理分式。
当分子多项式P(x)的次数小于分母多项式的次数时,这个有理函数叫做真分数。
当分子多项式P(x)的次数大于分母多项式的次数时,这个有理函数叫做假分数。
分母Q(x)可以分解成两个多项式的乘积。
Q(x)=Q(x1)Q(x2)与Q(x1)和Q(x2)没有公因数,可分为两个真分数之和。
p(x)/Q(x)= P1(x)/Q1(x)+P2(x)/Q2(x).
例如,有两个因素A和B满足
  
 
幂等系数,有
A+B=1,-(2A+3B)=1,
解决办法
A=4,B=-3
3.可以转化为有理函数的积分(复有理公式)
用代换积分法积分,使一个量等于复数公式,求解反函数公式得到积分。
以上内容纯属个人总结意见,不代表官方观点。以上内容是不定积分,不定积分的内容。考虑到这一点,我们下次继续讨论定积分的内容。最后,喜欢这个内容的朋友请喜欢。如果下次想看,请收藏!欢迎大家在评论区评论。请关注我,我会持续发布关于专科生数学考试的文章或视频。感谢您的支持!希望能帮你考上专科。最后祝大家梦想成真!








