三月到学霸特别整理了2022高考寒假备考的高中数学必备公式和知识点,希望能为广大考生和家长提供帮助。
1
函数的单调性
2
函数的奇偶性
3
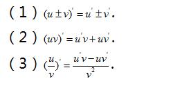
某处函数导数的几何意义
4
几个常见函数的导数
5
导数的算法
6
求函数的极值
7
分数指数幂
8
根式的性质
9
有理数的指数幂的运算性质
十
对数公式

11
常用功能图像
十二
同角三角函数的基本关系
十三
正弦和余弦的归纳公式
14
以及角度和差角的公式
十五
双角度公式
16
三角函数的周期
17
正弦定理
18
余弦定理
19
面积定理
20
三角形内角定理
21
A和B的数量乘积
22
平面向量的坐标运算
23
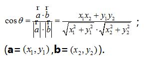
两个矢量之间的夹角公式
二十四
平面上两点之间的距离公式
25
向量的平行和垂直
26
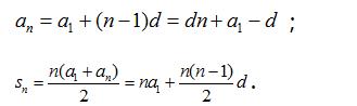
数列通项公式与前n项之和的关系
27
等差数列的一般业务和前N项及公式
28
等差数列的性质
29
等比数列的通项公式和前N项求和公式
30
几何级数的性质
31
常见的不平等
三十二
直线三角形方程
三十三
两条直线的垂直度和平行度
34
点到直线的距离
35
圆的两个方程
三十六
点和圆的位置关系
37
直线和圆的位置关系
38
椭圆、双曲线和抛物线的性质
39
双曲方程和渐近线方程的关系
四十
抛物线的焦半径公式
41
计算方差的标准差
[S2/]42
回归线性方程
43
独立性测试
[S2/]44
复数
四十五
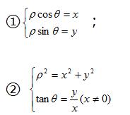
参数方程,极坐标转换成直角坐标[/s2/]
本文由微信官方账号《向学霸进军》在网上整理编辑。








