神嘴小吹
2
0
关注本头条,长期分享薪酬与绩效专业知识!文本/王刚如何正确打开报价?今天我们来谈谈报价,这是很多老板的日常工作!有一次,我去一家贸易公司调研,老板给了我一个反馈:公司财务报告不准确,利润不匹配。我问老板你...
红网
2
0
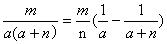
1。与拆分条款相关的公式:2。幂的尾数公式:①指数除以4,留余数(余数为0则视为4);(2)底部留底座。以3为例。从1次方开始,尾数分别为3、9、7、1、3、9、7、1、3、9、7、1……从这里...
瘦身女人的生活
2
0
同学们在备考数据分析的时候,大家最重要的是了解和积累一些我们经常考的概念及其计算公式。相信大家对考试相对频繁的基本公式和概念已经掌握的非常透彻了,所以今天就带大家了解一下大家可能不知道的常规比。一、产销率...
汪烟酉
3
0
新疆网讯(记者梁淑芳)新疆青年就业创业服务中心以青年人才需求为导向,探索创新服务青年就业创业工作模式,不断整合资源,实现“一站式”服务,推动青年就业创业服务工作转型升级。2月16日,记者走进位于新华北路的...
朱大可
2
0
线性方程(组)一、方程的概念和方程的解1。方程的性质(1)如果方程两边加(或减)同一个数或同一个代数表达式,结果还是方程。(2)如果等式两边都乘以(或除以)不等于零的同一个数,结果仍然是等式。2。方程...
江左梅郎
2
0
营业利润一直是商业和经济活动中的行为目标。没有足够的利润,企业无法继续生存。没有足够的利润,企业就无法继续扩大发展。本人从事产品策划多年,经常接触到很多企业主在激烈的市场竞争和超低利润的产品销售面前无所适...
小风讲创业
2
0
爱美人士想要打造完美妆容,底妆产品是关键,底妆没选好,其他一切都是徒劳。所以在选择底妆的时候,一定要从产品的质量和功效出发,同时结合自己的肤质来选择。bb霜自诞生之日起,就因其轻薄、遮瑕而受到消费者的喜爱...
张子墨
2
0
1.影响价格和毛利的四大因素企业在实施价格策略的时候,部门可以通过调整毛利来提升毛利额,也可以通过ABC类商品的分析来提高毛利额,但是到底是什么影响了价格呢?直接影响价格和毛利的因素有以下四个:第一是顾客...
独沐秋风
2
0
韩束魔法水滴BB霜蕴含多种滋养修复精华,温和作用于肌肤。看得见的水滴,既能保护皮肤水分,又能调节肤色,起到极佳的遮瑕修饰作用。模拟人体肌肤的“锁水、保水、储水”天然保湿原理,含水量比普通B...
新浪财经
2
0
介绍韩束于2002年在上海成立。经过十年的奋斗,韩束已经成为中国护肤彩妆界的知名品牌。韩束化妆品中的BB霜一直是他们的骄傲。集护肤和遮瑕于一体的BB霜受到很多爱美人士的追捧。今天我们就为大家带来韩束BB霜...