[奥特曼]关注我,每天一起学点法律财税知识,进可攻,退可守!此生无憾![狗头]
利率是如何确定的?
利率,指一定期间内,利息与本金的比率。
利率的确定公式为:利率 r=r*+IP+DRP+LRP+MRP;
r*为纯粹利率(pure rate of interest),也称真实无风险利率,指在没有通货膨胀、无风险情况下资金市场的平均利率。

在没有通货膨胀的情况下,一般可以将短期政府债券的利率当作纯粹利率。
IP为通货膨胀溢价(inflation premium),指为了弥补通货膨胀造成的货币购买力下降,而给予的补偿。
名义无风险利率=纯粹利率+通货膨胀溢价
DRP为违约风险溢价(default risk premium),指因存在债务人到期不能按约足额偿还本金和支付利息的风险,而给予的补偿。
债务人的违约风险越大,债权人要求的利率就越高;所以市场上,垃圾债的利率是相对较高的,因为里面包含了大量的违约风险溢价。
LRP为流动性风险溢价(liquidity risk premium),指因存在不能在短期内快速变现的风险,而给予的补偿。
MRP为期限风险溢价(maturity risk premium),指为避免市场利率上升导致债权人损失,而给予的补偿。
风险与利率是相对应的,高风险=高利率,低风险=低利率,无风险=无风险利率,所谓的风险指的就是上述四项风险。
利息是如何计算的?
利息的计算方式主要有两种:(1)单利计息;(2)复利计息;
(1)单利计息
单利计息,指在所有的计息周期内,仅以本金计息。
单利计息公式:F=P*i*n
(2)复利计息
复利计息,指每经过一个计息周期,都要将所生利息加入本金后,再合并计算新的利息,即俗称的“利滚利”。
复利计息公式:F=
-ptips1:p为本金;i为计息周期的利率;n为计息周期数;计息周期,指相邻两次计息的时间间隔,如按年计息、按月计息、按日计息等。
tips2:在复利计息中,计息周期越短,计息的次数就越多,最终支付的利息就会越多。
tips3:根据《中华人民共和国民法典》第670条规定,借款的利息不得预先在本金中扣除。利息预先在本金中扣除的,应当按照实际借款数额返还借款并计算利息。即:我国法律是不支持“砍头息”的。
年金是如何计算的?
年金,指等额、定期的系列收支。年金主要有四种类型:(1)普通年金;(2)预付年金;(3)递延年金;(4)永续年金。
(1)普通年金,每期期末收支的年金:
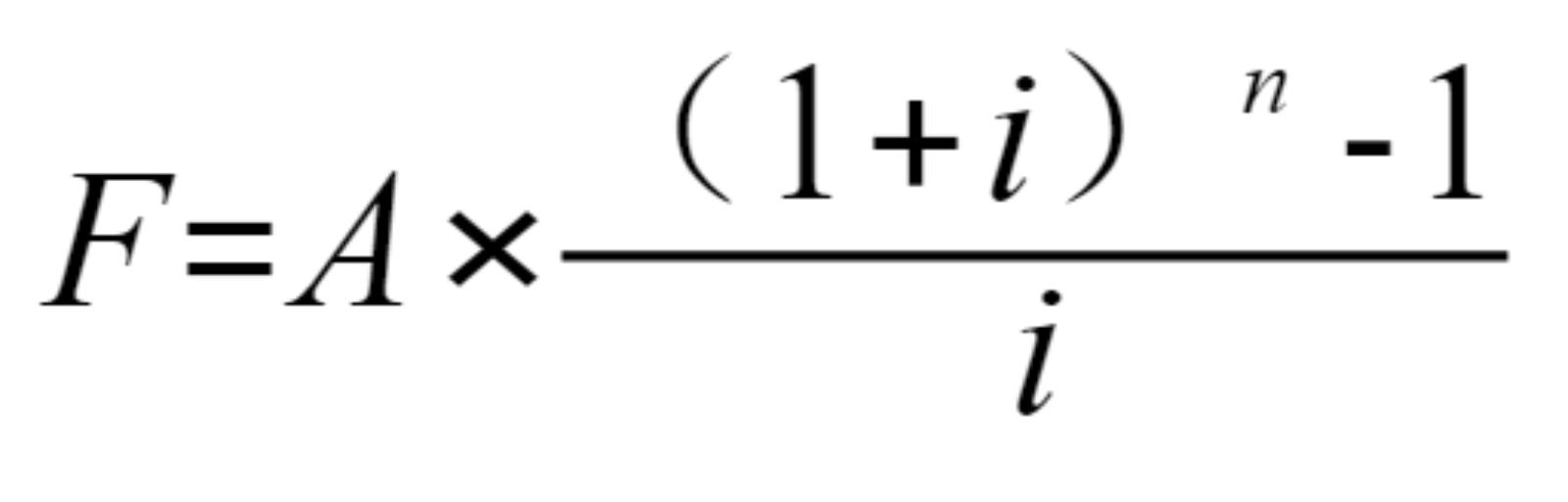
普通年金终值=年金额*普通年金终值系数
F=A*(F/A,i,n)

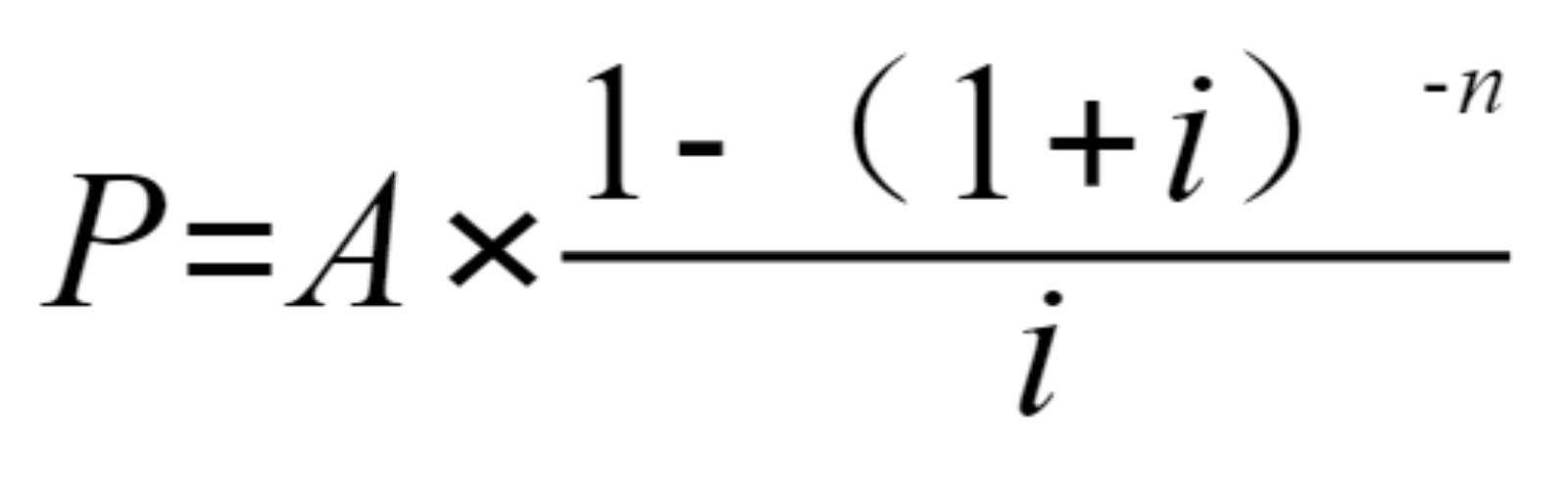
普通年金现值=年金额*普通年金现值系数
P=A*(P/A,i,n)

(2)预付年金,每期期初收支的年金
预付年金终值=年金额*预付年金终值系数
F=A*{(F/A,i,n+1)-1}
F=A*(F/A,i,n)*(1+i)
预付年金现值=年金额*预付年金现值系数
P=A*{(P/A,i,n-1)+1}
P=A*(P/A,i,n)*(1+i)
tips1:普通年金与预付年金其实两者就相差一期,故在普通年金的计算公式基础之上,乘以(1+i),就可以得出预付年金的计算公式。
(3)递延年金,是从第m期以后收支的年金
递延年金终值:
F=A*(F/A,i,n)-A*(F/A,i,m)
递延年金现值:
P=A*(P/A,i,n)-A*(P/A,i,m)
tips1:递延年金的计算原理:先将递延年金视为n期的普通年金计算,再减去m期的普通年金。
(4)永续年金:无限期的普通年金
永续年金没有终止
永续年金现值=年金额/折现率
P=A/i
案例计算分析
某保险公司推出了一项养老金保险,每年年初向保险公司缴纳保险费6000元,连续缴纳30年,期限届满后,保险公司每年年末支付养老金10000元,直至投保人死亡。小明现在30岁,我国人均寿命为80岁,小明的期望收益率是6%。请问:
(1)该养老金保险是否值得购买?
养老金投保的现值:6000*(P/A,6%,30)*(1+6%)=87544.33元
养老金收益的现值:10000*(P/A,6%,50)-10000*(P/A,6%,30)=19970.29元
投保的现值>收益的现值
养老金保险未能达到小明的期望收益率,不值得购买。
(2)要达到小明的期望收益率,保险公司每年年末至少要支付多少养老金?
87544.33=A*(P/A,6%,50)-A*(P/A,6%,30)
A=43837.27元
大家以后买保险、买理财产品时,都可以用本文中的利息、年金计算公式,计算出相关保险、理财产品的收益率,以免一不小心就被坑了哈~
[奥特曼]今天的财务管理知识,你学会了吗?如果大家还有其他的法律财税问题,请在我的主页留言板内留言。[太阳]
如果你喜欢的话,就请动动你的小手指,点赞分享推荐吧~[送心]





