在初一上学期,我们会接触到代数式,很多同学在利用字母解题时会感觉到头疼。一道题目,给他具体的数字,他会写,将具体的数字变成字母,他就不会写了。我们了解用字母表示数、表示线段的长度、表示角度等等,为后续学习函数、动点题等打下坚实的基础。
    
整式化简题在求解时要注意格式问题,一般需要先化简,再求值,即不要讲题目中所给的数据直接代入,这样不仅计算量大,而且极易所错,格式上也不过关。在化简求值的过程中,也有一些小技巧,比如整体代入法、变形法等等。化简好以后,也不要直接带数据,应该多写一步,当……的时,原式=……,按照这样的过程进行解题。
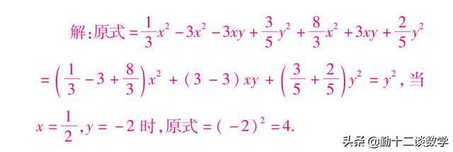
类型一:先化简,再代入求值
    
分析:先去括号,然后合并同类项,再代入数据求值。
    
这是最基础的一类问题,解题的关键在于合并同类项。在多项式中,所含字母相同,并且相同字母的次数也相同的项为同类项。合并同类项就是利用乘法分配律,同类项的系数相加所得的结果作为新的系数,字母与字母的指数保持不变。
在找同类项时,可以使用画记法,单独的数字也是同类项。
    
    
分析:很多同学看了这个题目一眼,就觉得自己肯定不会做,因此出现了二次未知数,不要说二次了,有些一次未知数都不会解。其实,我们不要被这个一元二次方程给忽悠了,本题根本就不需要求出a的值。

我们解题的思路与类型一类似,先去括号,合并同类项,然后再将化简后得到的代数式与所给的方程进行比较,通过整体代入思想求解。
    
可以发现,化简得到的代数式与所给方程一样,因此可以整体代入求值。那么,如果化简到的代数式与所给式子不是一模一样呢?我们也需要观察特征。
比如得到2a^2-2a,那么可以将系数2提取出来;比如-3a^2+3a,那么可以提取系数-3,尽量往所给的等式中靠。
    
    
分析:先通过合并同类项将代数式化简,然后通过“0+0=0”模型求出x、y的值,再将其代入化简后的代数式求值。
    
求解的思路不变,仍然先化简,只不过未知数的值并没有直接告知,需要我们通过其它知识点将未知数的值求出,再代入求解。
类型四:整体加减求值
    
分析:题目中出现了二元二次方程,直切求解不现实,观察所求代数式的特点。可以发现,x平方项前面的系数为2,因此可以将第一个式子扩大两倍;y平方项前面的系数为-3,因此可以将第二个式子扩大三倍,然后再将两个式子相加。
    







