1957年10月4日,前苏联研制的人类首颗人造地球卫星“斯普特尼克”号在哈萨克斯坦拜科努尔航天中心成功发射升空,这颗卫星在轨运行3个多月,环绕地球运行1400多圈后,最终坠入地球大气层烧毁。“斯普特尼克”号是全世界第一颗人造地球卫星,它掀开了人类探索太空的篇章,引发了冷战时期美苏两国的太空竞赛,对人类的意义相当重大。
    
至今为止,人类发射的人造卫星数量已经达到了数万颗,它们的结构、特性、功能、用途、运行轨道等等都不尽相同。在数十年的使用过程中,人造卫星在太空科学研究、地球通信、国防军事、气象资源、电视广播等方面都发挥了重要的作用,为人类社会发展做出了重要贡献。
    
我们经常可以在电视直播中看到航天器或者人造卫星的发射情景,火箭点火的瞬间总是让人特别振奋,发射指挥中心大屏幕上的运行轨道总是让人感到高大上。可能很多人对人造卫星绕地球运行的物理原理不太清楚,今天就让我们一起走近人造卫星的世界,认识它的运行轨道和运行速度的物理原理。
    
早在17世纪,牛顿阐述经典力学三大定律和万有引力定律之时,就曾设想在距离地面一定高度的地方,将一个物体平抛出去,当这个物体的初始速度越大时,它的落地点与抛掷点的距离就会越大,如果初始速度足够大,那么这个物体就不会落到地面上,而是环绕着地球一直运动。这就是朴素的人造地球卫星物理原理,可是当时的技术条件还远远不能提供足够大的动力,使物体具有环绕地球一直运动的足够的速度。
    
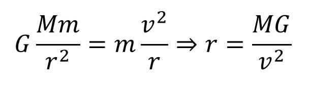
人造卫星环绕地球运行主要依赖于万有引力和向心力,具体来说就是地球对卫星的万有引力提供向心力,使卫星环绕地球做圆周运动。我们都知道,任何两个有质量的物体之间都存在相互吸引的万有引力,质量越大,距离越近,万有引力越大,万有引力的物理公式如下:
    
物体做圆周运动需要向心力的维持,向心力的物理公式如下:
    
卫星的万有引力提供向心力,因此有下面的等式成立:

    
其中,G是万有引力常数,M是地球的质量,m是卫星的质量,r是卫星绕地球运行的轨道半径,v是卫星的飞行速度。凭着个人的经验感觉,平常人或许会认为卫星的轨道半径越大,卫星的飞行速度也就越大。但是物理理论告诉我们,这种想法是错误的,从上面的公式中可以看出,卫星的轨道半径和飞行速度的平方成反比,也就是说,卫星的轨道半径越大,卫星的飞行速度也就越小。
    
我们平常可能听到过第一、第二、第三宇宙速度的说法,实际上,它们分别是指一个航天器能够环绕地球运行、能够摆脱地球引力束缚,不再环绕地球飞行和摆脱太阳引力束缚,飞出太阳系的三个速度。通过万有引力、向心力等物理知识和地球、太阳的质量、半径等参数,经过简单的计算,就可以得到三大宇宙速度的数值分别为7.9千米/秒、11.2千米/秒和16.7千米/秒。
    
当发射速度小于第一宇宙速度时,物体会落回地面;当速度等于第一宇宙速度时,物体会恰好绕地球表面做匀速圆周运动;当速度超过第二宇宙速度时,物体会摆脱地球引力束缚,不再环绕地球运行,改为环绕太阳运行或者当速度更大时,摆脱太阳引力束缚,逃逸到太阳系外的星际空间中飞行。那么当速度介于第一宇宙速度和第二宇宙速度之间时,物体又会怎样运动呢?其实这个问题的答案就是卫星运行轨道的不同。
    
当速度大于第一宇宙速度而小于第二宇宙速度时,卫星会以椭圆形轨道环绕地球飞行。当卫星飞到距离地球较近的近地点时,飞行速度较大;当飞到距离地球较远的远地点时,飞行速度较小。实际上,绝大部分卫星都是按照椭圆形轨道环绕地球飞行的。当增大卫星的飞行速度时,椭圆形轨道的会更扁更长,比如我国2018年12月发射的嫦娥四号卫星,在从地球向月球转移的过程中,先是按椭圆轨道绕地球飞行,当每次经过近地点时,发动机点火,提高卫星速度,使得嫦娥四号绕地球飞行的椭圆轨道越来越长。然后卫星进入奔月轨道,当接近月球时,被月球的重力所捕获,成为绕月球飞行的卫星。在环绕月球飞行,每次经过近月点时,反向发动机点火,降低卫星速度,使得绕月轨道变小,距离月球表面更近,更便于对月球的观测。
    
我们所处的地球绕着自转轴以23小时56分钟4秒的周期不断的自转着,如果某颗绕地球转动的人造卫星的运行周期与地球的自转周期相等,那么就意味着在地球上的同一个地方,每天的同一时刻都能在天空中相同的位置观测到这颗人造卫星,那么这颗人造卫星的运行轨道就称为地球同步轨道。
    
地球同步轨道的平面可以与地球的赤道成各个角度,按照所成角度不同,地球同步轨道可分为极地同步轨道、倾斜同步轨道和地球静止同步轨道。当与赤道成90度时,人造卫星会环绕经过地球南北极的极地同步轨道运行。当与赤道所成角度介于0度到90度之间时,人造卫星会环绕倾斜同步轨道运行。当与赤道成0度时,地球上任何一个地方的人在一天中的任何时刻都可以在天空中相同的位置观察到这颗人造卫星,也就是说这颗人造卫星跟随地球自转的角速度,相对地球是静止的,这样的轨道称为地球静止同步轨道。地球静止同步轨道的高度是固定的,大约在地球赤道上方35786千米。
    
运行在地球同步轨道上的卫星称为地球同步卫星,因为地球同步卫星可以在每天的特定时刻经过地球上的特定地点,或者可以相对地球表面静止不动,所以地球同步卫星在气象观测、军事侦察、通信导航和电视广播等方面具有重要的作用。







