如图所示,用A代表同步卫星,B代表近地卫星,C代表赤道上的物体.用M代表地球质量,R代表地球半径,h代表同步卫星离地表的高度.
    
属同一动力学模型的比较
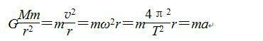
同步卫星A和近地卫星B都是卫星,绕地球运行的向心力都是由地球对它们的万有引力提供,则:
    
所以卫星的运动速度、周期、向心加速度的表达式为:
    

属不同动力学模型的比较
赤道上的物体C随地球自转的向心力由万有引力的一个效果分力提供,所以卫星的运动规律对赤道上的物体不适用.但因C和A都做匀速圆周运动,且周期T相同,故可用圆周运动的知识分析.
    
综上可知,对同步卫星A、近地卫星B和赤道上的物体C而言,有:
    







