晓查 萧箫 明敏 鱼羊 发自 凹非寺
量子位 | 公众号 QbitAI
张朝阳当物理老师还真是当上瘾了。
刚刚直接完成了一场线下课,当场手推质能方程,一整面黑板墙都差点没盛下。
这个姿势,是不是有你大物老师内范儿了(手动狗头)。

没地方继续推导了,擦黑板前还要感慨一句“不忍心擦掉”。

讲台上架势十足,而讲台下同学们也是疯狂地做起了笔记,比如第一排的李永乐同学,就相当认真。

而线上直播的气氛也是相当热烈,虽然是“网课”,同学们也十分积极踊跃。

看样子,张老师可真不只是架势足而已,那是真讲得有两把刷子。
其实说到讲物理,张朝阳的资历那是杠杠的。
1986年,张朝阳从清华大学物理系毕业,并于同年考取李政道奖学金赴美留学。1993年,他在MIT获得博士学位,又在MIT继续了3年博士后工作,1996年回国创业。
阔别物理20多年后,张朝阳居然毫不生疏,全程一个多小时不看书,终于推导出质能方程E=mc²,让网友看到了一个互联网大佬对物理发自内心的喜爱。
难怪有网友说,张朝阳讲物理的时候“眼睛里有光”。

那这堂课上,张朝阳具体是在讲些啥?
演讲的核心内容是狭义相对论。
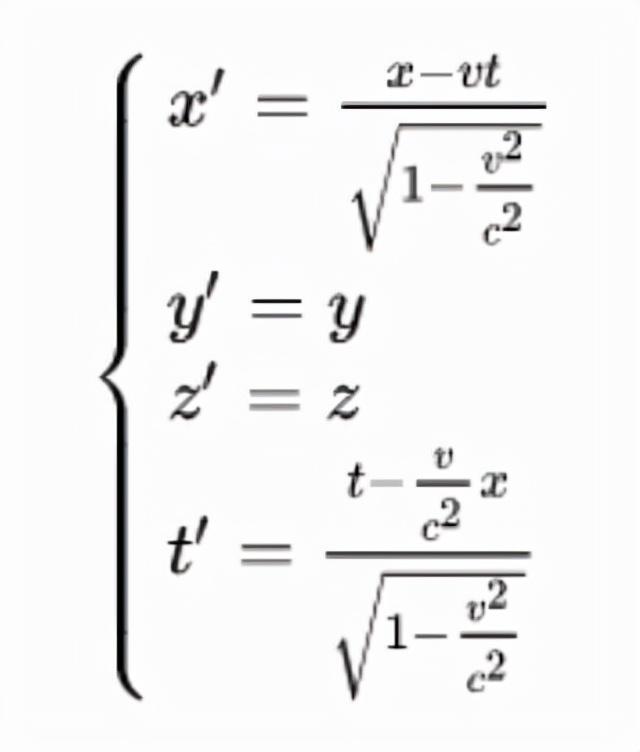
张朝阳首先推导了相对论中的“动尺变短”和“动钟变慢”,也就是著名的洛伦兹变换。

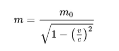
然后讲到质量与速度的关系:

再由质速关系导出质能方程,全程大量使用微积分,让人直呼拉高了知识类直播的门槛和水平。

在这堂线下课之前,“张老师”已经在物理科普领域履职了一段时间。
他的第一节物理直播课,要从2021年11月说起。
这场被张朝阳称为“破天荒的第一堂物理课”,从力学的一些基础公式的推导开始,最终扩展到了马斯克飞船、中国空间站这些时事应用上。

教学方式也并非PPT翻页,而是像直播聊天一样,张朝阳一边介绍着物理公式,一边在手写板上画图推理,仿佛例题都是现场想到的:

△直播画面
事实上,在物理课开课之前,张朝阳还讲了一段时间的英语课。
不过从标题仔细总结的内容知识要点、以及每次都接近1小时的直播时长来看,张朝阳的每一次物理课,才确实算是真正地“有备而来”:

△英语课回放就是简单的默认标题
而张朝阳的第一堂物理课,就破天荒地收获了接近2000余条互动评论,相比英语课平均在100多条的互动来说,可以说是很受欢迎。
在这之后,张朝阳的物理课便是“一发不可收拾”,截至目前已经开办了三十多期,从难度来看,从高中到大学物理都有涉及。

从力学物理课开始,最初还是像能量守恒、光的散射、温度、普朗克、电磁场等基础概念,算得上是我们在高中物理必修和选修中学过的内容。
然鹅,后面的课堂标题就几乎全是大学物理专业名词了(颇有点炫技的赶脚):


但与此同时,也会适当地延展一些我们高中物理没有学过的知识点、或是书本上没有的科技热门应用。
甚至张朝阳还会来些口播复习课,以“无白板无推导”这样的讲解方式吸引大伙儿:

随着这些物理课一堂堂地直播下来,网友们的反应也从一开始的“老板的物理课”、“看看搜狐CEO讲物理课是啥样”的吃瓜态度,逐渐到努力理解知识的状态:

△第一堂课vs开课两个月后
“卷”到飞起的科普圈说来也很巧合,最近在著名学习网站bilibili上,一个物理课视频冲到了排行榜前十,播放量300w+。

视频的主角是一位白发苍苍的老奶奶,粉丝们都亲切地称呼她:吴姥姥。
不过她的视频内容都非常硬核,比如最新上门的这一期,就是来讲解宇称不守恒定律。

要说这个定律本身,其实离我们日常生活比较遥远。
它是指在弱相互作用中,互相镜像的物质的运动不对称。最初由李政道、杨振宁二人提出,由吴健雄用钴60验证。
而吴姥姥站在镜子前,用了一点剪辑魔法,只花2分钟时间就为大家科普了这一定律。
这也是她一如既往的视频风格,用生活中常见的物品当做实验道具,把晦涩难懂的定理用简单直接的实验呈现出来。
在此之前,她已经在B站、抖音、快手上吸粉超百万,ID就叫不刷题。
甚至有网友表示看了吴姥姥用电磁炉炒电线的实验,学会了自己三年都没搞懂的楞次定律。

和张朝阳相似的是,这位吴姥姥也是物理系出身,并且同样大有来头。
她名叫吴於人,是同济大学一位退休物理学教授,曾担任物理演示实验室主任、教研室主任。

由于父亲是中国第一代航天人,吴於人从小就在生活中慢慢学习物理科学知识。
而从他们两位的物理视频背后,看到是知识类、学习类内容逐渐在各大视频平台爆发。
事实上,还有不少学界大牛也一直在努力做科普。
比如物理科普区的另一位熟人——北京师范大学物理系的赵峥教授,他从事相对论和黑洞研究多年,发表相关领域论文达100多篇。

还有中科院院士、同济大学海洋与地球科学学院教授汪品先。
网友们评价他科普地理知识,就像是爷爷在讲故事一样有趣。
看来,现在各大视频平台真的要变成学习基地了。
话说回来,你有哪些私藏的科普博主吗?
欢迎在评论区留言分享~
— 完 —
量子位 QbitAI · 头条号签约
关注我们,第一时间获知前沿科技动态








